点击蓝字关注我们

段霞
段霞,女,1966年出生,经济学硕士,法学博士,教授,博士生导师。DCH未来城市研究院院长,城科会数字孪生与未来城市专委会副主任委员兼秘书长。
2001年入选北京市新世纪社科理论人才“百人工程”,2004年度被评为北京市“教育创新工程标兵”,2005年被授予“北京市先进工作者”和“首都经济贸易大学教学名师”荣誉称号,4次获得省部级表彰或奖励。2009年入选北京市宣传文化系统“四个一批”人才,2012年被评为北京市 “理论宣讲之星”,2016年入选北京市高层次创新创业人才支持计划领军人才,五次获得省部级表彰或奖励。
主要研究领域为国际关系理论与实践,全球化与地区发展战略。
20世纪90年代末开始关注全球体系中的大都市命运,在国内率先开展城市国际化战略研究,主持北京市社会科学与自然科学协同创新研究基地“北京中国特色世界城市研究基地”工作,组织跨学科团队组织团队对城市尤其是全球化进程中的大都市进行长期跟踪和国际比较研究,为中国城市的国际化、现代化与智慧化发展提供前沿学术成果和实践解决方案,有多项研究成果被各级政府部门采纳、转化并受到各方好评。
完成《全球化与城市的深刻变化》(1999)、《基于全景观察的世界城市指标体系研究》(2011)等多篇有影响力的学术论文,《世界城市发展战略研究——以北京为例》、《首都国际化进程研究报告》、《新中国60年·学界回眸——国际关系学发展卷》、《中国外交空间的扩展》等学术著作。个人撰写学术专著2部,研究报告9部,主持完成各级各类科研项目30余项。
摘要
新冠疫情以来,线上虚拟集聚成为数字经济时代下产业组织新趋势。本研究探讨产业数字化虚拟集聚程度是否影响以及如何影响全要素生产率的问题。基于2015-2020年中国30个省的面板数据,采用熵值法对产业数字化虚拟集聚水平进行测度,通过中介和调节效应模型研究产业数字化虚拟集聚对全要素生产率的作用机制和影响路径。研究发现:(1)产业数字化虚拟集聚对全要素生产率存在显著的提升作用;(2)产业数字化虚拟集聚通过推动技术进步和改善技术效率的内在机制推动全要素生产率的增长;(3)产业数字化虚拟集聚通过数字服务的“市场规模效应”“劳动力涵养地效应”与“隐性知识显性化效应”来推动全要素生产率提升。因此,加快产业数字化虚拟集聚进程,加强数字技术改造和人才培育,促进产业结构数字化升级,将使全要素生产率得到有效提升。
关键词
数字化;产业数字化;虚拟集聚;全要素生产率
正文
一、引言
互联网数字技术改变了产业的经济形态,引起了数据数字化生产和跨界竞争生态的变革,同时在经济新常态投资边际报酬递减、人口红利逐步消失、技术进步不足的背景下,中国经济发展亟需由资源要素、投资拉动转换为全要素生产率驱动,以数字化转型推进新旧动能转换。现阶段从以互联网平台、信息技术为主导的“数字产业化”,发展到以人工智能、大数据等为支撑的“产业数字化”,尤其是新冠疫情导致居家办公、线上会议成为常态,集聚的知识溢出效应已经打破地理临近的限制,更加紧密的网络联系甚至超过了现实集聚的作用。线上虚拟集聚作为数字经济时代产业组织新趋势,导致产业边界模糊化、产业集群虚拟化。2022年国家发改委等13部门提出“打造跨越物理边界的‘虚拟’产业园和产业集群”。产业数字化虚拟集聚已成为实现价值链的攀升并摆脱“低端锁定”的重要力量。
那么,产业数字化虚拟集聚是否有利于全要素生产率的提升?作用机制是什么?虚拟集聚相比传统地理集聚有哪些新的集聚效应?产业数字化虚拟集聚是否由于数字服务的中介作用提高了全要素生产率?产业数字化对全要素生产率的影响是否受到虚拟集聚效应的调节作用?本文将中国产业数字化虚拟集聚与省级层面的数据结合,评估产业数字化虚拟集聚对全要素生产率的影响及其内在机制,探究影响途径,量化影响过程。这些探索有助于理清产业数字化虚拟集聚的新内涵,拓展产业发展的新虚拟空间,使产业数字化虚拟集聚成为经济创新增长的动力来源,成为新旧动能转换的关键力量。
二、研究综述
已有新经济地理学和“新”新经济地理学的集聚理论的研究集中于传统地理意义上的产业集聚,相关研究认为,传统地理集聚区的相关信息技术产业创新集聚、产业园集聚区产业数字化转型,依赖地理意义上的空间临近性,外部性效应的作用需要一定的地理范围,在地理集聚区内形成各要素累积强化效应和知识溢出效应。然而,数字技术的发展和广泛应用打破了地理意义上的空间临近,集聚理论需要进一步丰富和拓展。集聚效应的溢出效应可以通过互联网平台得到实现,技术溢出通过移动化、数字化形成了“虚拟集聚”的新概念。1997年欧盟7所大学联合网络化课题研究小组最早定义虚拟产业集聚(VirtualIndustrialCluster,VIE)的概念,虚拟产业集聚由某些参与虚拟企业的运作且具有一定特长的虚拟集合体构成。Cairncross也提出信息技术的革新导致“距离死亡”。Brown和Lockett认为互联网给企业提供了相互关联的数字化企业集群平台。Hansen认为数字贸易从物理贸易成本和制度层面,通过虚拟集聚中的信息与通信技术节约成本。当前研究多从管理学的角度围绕虚拟集聚的比较优势、技术标准、动力、载体平台等进行分析。例如王如玉等、田霖等从管理学的角度理论上分析了虚拟集聚的特征、形成机制、功能和类型。张青等分析了虚拟集聚的运行载体和驱动引擎。谭洪波等运用传统经济学集聚理论分析了产业线上集聚的机制、效应和模式。张睿倩等丰富了制度逻辑理论在虚拟集聚形态中的作用。在虚拟集聚对传统产业的颠覆和转型升级方面的研究,仅有陈小勇提出虚拟集聚解构传统供给体系,加速模块化分工进程,推动制造业转型升级。
本文认为虚拟集聚实质是通过新一代信息技术,将需求双方及相关企业从地理空间集聚转向虚拟空间集聚的模式,通过缩短生产各个环节信息交换距离以降低交易成本,最终实现动态的柔性生产。在数字经济时代,虚拟集聚很大程度上还是作为辅助性的中间环节出现,其盈利模式从属于制造业生产活动,制造业厂商对虚拟集聚的需求是虚拟集聚程度深化的必要前提。虚拟集聚指网络经济背景下产业集群发展的新现象。虚拟集聚作为一种全新的集聚经济模式,是产业数字化、数字产业化发展的必要工具。
对于产业数字化对全要素生产率作用机制的相关研究集中在经济效应、经济形态、发展模式方面,黄群慧等研究发现互联网促进了城市整体生产率的提升,其内在机制在于降低交易成本、减少资源错配和促进技术创新等方式。荆文君等分析了数字经济的匹配作用和规模经济、范围经济和长尾效应等数字经济效应,认为创新形成平台经济、共享经济等数字经济新经济形态。肖旭等认为产业数字化的价值维度体现在提升产业效率、整合产业跨界、创新竞争组织模式以及推动产业升级。丁志帆也认为数字经济有助于企业实现规模经济、范围经济和网络效应。王文分析了数字经济工业智能化对产业变革的作用。施炳展等认为互联网普及率通过降低企业的搜寻成本显著促进中国制造业企业分工水平的提升。宋清华等论证了产业数字化通过“创新激励效应”“价值共创效应”和“管理优化效应”来实现企业生产率的攀升。涂心语等通过反事实方法实证检验了数字化转型通过加速知识溢出促进其全要素生产率的提升。
已有文献集中在数字经济的发展对全要素生产率影响的研究,对于产业数字化及虚拟集聚的研究停留在理论层面和指标构建,缺少产业数字化具体不同侧重的实证研究和针对性理论探索。
综上所述,现有研究可能存在两个不足:一是数字经济对消费领域的渗透力度更为强劲,而对生产领域的“创造效应”并未完全发挥,虚拟集聚的盈利模式从属于制造业生产活动,现阶段作为辅助性的中间平台环节,对产业数字化虚拟集聚的内涵及机制效应的研究还不够充分。二是针对虚拟集聚的相关实证研究数量有限,不能为当前现实发展提供理论支持。基于2015-2020年中国30个省的面板数据进行实证研究,评估产业数字化、虚拟集聚对全要素生产率的影响及其内在机制;分析虚拟集聚程度的中介作用和虚拟集聚产生的调节效应,这些探索有助于拓展产业数字化虚拟集聚的发展空间,理论分析和实证检验产业数字化提升全要素生产率的内在机制和传导路径,以产业数字化推进新旧动能转换。
三、模型假设和机理分析
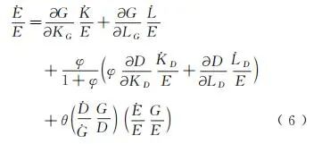
本文首先依据Ferder的模型构建了数字化产业和一般产业经济模型。假定经济(E)中只存在数字化产业(D)和一般产业(G)两个部门,一般产业通过数字化转型升级逐步成为数字化产业,进而提升一般产业的产出能力,并假设数字化产业部门以不变弹性(θ)影响一般产业部门。其中数字化产业和一般产业都由资本投入(K)和劳动投入(L)构成。
记E=G+D
且G=G(KG,LG,D)=Dθ(KD,LD)(1)
对其时间求导,推导出资本投入和劳动投入的边际产量:
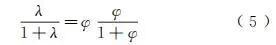
同时假设一般产业和数字化产业的资本投入和劳动投入的边际产量存在,1+]关系,其中λ(λ>0)表示一般产业和数字化产业间资本投入的边际产出差距,μ(μ>0)表示一般产业和数字化产业间劳动投入的边际产出差距。
将上式代入,然后两边同时除以E,整理可得:
通过上式可以发现,产业数字化部门通过θ()提供数字技术提升生产率,一般产业部门通过弹性系数和时间影响总产出(E)并提升生产率。这是由于数字经济环境下生产可能性边界超时空扩大,可利用的资源可以迅速突破时空限制,运行效率极速提高,生产要素逐渐向高生产率部门转移,同时各要素部门之间联动的边际成本持续降低,由于“梅特卡夫法则”和网络效应收益几何式增加,全要素生产率相应几何式增加。而且数字经济可以化解投资边际报酬递减,人口红利逐渐下降及传统创新路径受阻的负面冲击,经济增长方式由要素和投资驱动转向数字技术驱动。同时产业数字化实现了数据资源的高效利用与开放共享,而虚拟集聚摆脱了地理实体空间的束缚,对分布式要素进行网络化整合,实现信息平台的双向反馈,拓展资源地理利用空间,从而提高全要素生产率。产业数字化虚拟集聚在网络线上空间中形成了基于不同异质性竞争协作型平台的契约关系和知识溢出网络。这种网络线上契约关系平台能更加灵活地对外部市场需求变化和不确定性冲击做出迅速处理反应,线上契约关系由于数字化程度大大减少了业务的流程提高了业务的效率,使得产业数字化本身提高了生产效率。由此基于公式推导和理论提出假设1。
假设1:产业数字化虚拟集聚显著促进全要素生产率的增长。
随着数字产业化系统的不断发展壮大,极具渗透性和扩散性的虚拟数字技术在农业、工业、服务业大范围普及,为实体经济转型升级提供全面的技术支持,成为产业升级、产品升级、服务升级的重要“催化剂”,产业数字化和虚拟集聚存在着螺旋交织的耦合关系和循环机制,推动全要素生产率的提升。
对于全要素生产率的动力来源,大部分学者认为是由研发产出的技术创新产生。朱有为和徐康宁认为由研发产出的技术进步逐渐成为主要推动力。技术进步代表生产可能性边界的外移,是企业在基础科学研究和核心技术研发上取得了突破,从而提高要素投入组合的产出水平。产业数字化强大的技术支撑赋予了传统技术创新的“智能”属性,为机器学习和深度学习提供了大量的素材和大数据资源,通过自我学习效应实现技术进步。在互联网产业数字化推动下,技术进步渗透到产品生产各个环节中,彻底颠覆了产品设计与交付模式,不仅倒逼企业转型升级,还解决了传统生产模式下企业面临的商品同质化问题以及规模化生产带来的产品过剩问题。但是企业一旦采用颠覆性先进技术提高技术进步水平通常就会出现“创造性破坏”现象,促使整个行业技术跨越式进步并且提升整个行业的全要素生产率。
对于企业而言,率先推动技术进步和数字化改造具有一定风险,对既有业务的渐进式改进更易取得显著效果,所以企业较多进行技术效率改进。而技术效率反映了企业在稳定技术要素条件下实现最大产出的能力,表现出企业对现有资源有效利用的能力。技术效率源于数字化理念的引进、制度变革,以及数字化生产组织效率的提升和经验的累积。虚拟集聚通过网络空间提高了交流效率、降低了交流成本与生产成本,在知识溢出效应作用下为企业带来实际收益。产业数字化所形成的真实信任合作的契约关系,不仅仅降低交易成本和交易风险,重要的是将技术效率和技术进步的提升由线下扩展到线上,有效地准确传递隐含知识和相关技术溢出信息,在网络空间中实时在线的交流、沟通和创新,更能满足消费者异质性多样化需求。信息共享溢出平台可能逐步弱化产业的现实地理集聚,形成地理空间和虚拟空间的双重集聚。吴勇毅也认为数字经济打通数字化基础设施,带动优化了数字技术水平和要素资源配置效率,从而促进产业结构升级。由此提出假设2和假设3。
假设2:产业数字化虚拟集聚对技术效率的提高具有显著正向促进作用。
假设3:产业数字化虚拟集聚对技术进步的增长具有显著正向促进作用。
线上市场规模效应。从集聚容量上看,线上空间可以集聚几乎无限多个企业,数字贸易使集聚在线上的任何一个企业可以获得线上市场存在的任意数量的中间投入,同时任何一个企业的产出又可以瞬间成为其他所有企业的中间投入或最终产品。因此一个企业生产出的产品和服务将会面临整个市场,此时中间投入品的市场规模效应可以无限放大,不再拘泥于地理集聚的有限空间内。因此,线上集聚带来的中间投入品效应远大于地理集聚的中间投入品效应。
劳动力涵养地效应。数字贸易使地理集聚的劳动力“蓄水池”效应逐渐演变成为线上集聚的劳动力“水源涵养地”效应。大多数行业数字贸易已非常普遍,这些行业的劳动力在地理空间上靠近其雇主和服务对象的必要性大大下降,他们可以分散在全国乃至世界各地,通过数字贸易无论身在何处都可以为企业效力、为客户提供服务。通过线上集聚,劳动力供需双方的搜寻成本显著下降甚至接近于零,劳动力就业形式更加灵活多样。
隐性知识显性化效应。线上集聚溢出效应更加显著。各类企业在生产、流通、研发、组织、交易等环节中蕴含着大量的知识和信息,这些知识和信息有些是显性的,有些是隐性的。企业线上集聚的过程中,上述经济活动越来越多地通过数字技术完成,原本的隐性知识在数字技术的作用下变得可编码、可传输,即隐性知识显性化,此时只要通过线上集聚就可以获得原本只有通过地理集聚才能获得的知识外溢,而且相对于传统地理集聚的隐性知识溢出效应,线上显性知识溢出效应更加明显,如数字经济时代的新业态、新模式等都可以迅速传播与模仿。
假设4:产业数字化通过在虚拟集聚中的“市场规模效应”“劳动力涵养地效应”与“隐性知识显性化效应”来推动全要素生产率提升。
四、数据说明与指标构建
(一)变量设定与数据
1.被解释变量
本文选取的被解释变量为全要素生产率(tfp)。利用DEAP软件基于数据包络分析(DEA)的Malmquis-Luenberger生产率指数法,对我国省级层面的全素生产率进行测算。产出变量使用国民生产总值衡量,用以2014年为基期平减后的固定资产总计作为资本投入,年平均从业人员数作为劳动投入,构造Malquist指数测算2015-2020年全要素生产率及其分解指标。模型为:
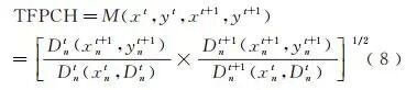
式(7)中,表示有n个决策评价单元有m种投入(i=1,2,…,m)和s种产出(r=1,2,…,s),用xij代表第j个决策评价单元第i种投入量,yrj表示第j个决策评价单元第r种投入量。将其以最优生产边界为标准纳入时间维度,以t期和t+1期为技术参照的Malquist指数取几何平均值即为全要素生产率的变化(TFPCH)。公式为:
进一步分解:
TFPCH=TECHCH×EFFCH
=TECHCH×PECH×SECH (9)
TECHCH表示技术进步,EFFCH代表技术效率(规模报酬不变下的效率变动),PECH代表纯技术效率(规模报酬变动下的累积效率变动),SECH代表规模效率变动。
2.核心解释变量
本文选取的核心解释变量为产业数字化虚拟集聚程度。产业数字化虚拟集聚是一个系统性过程,产业数字化的地理集聚和虚拟集聚存在着螺旋交织的耦合关系,存在相互促进、相互推动的循环机制。在产业数字化服务过程中,虽然企业的数字内容本身是线上的,但虚拟集聚所形成的数字内容并不是虚拟的,而是以数字化为媒介承载具体的专业知识、大数据分析、创意设计、虚拟衍生品、区块链背书等服务,这些内容真实存在,数字化的知识、产品和服务的承接载体和交易方式发生了变化,其服务内容和提供的产品并没有发生任何变化。
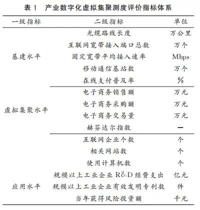
已有相关研究主要集中于数字经济、产业数字化指标体系的构建,关于集聚问题的现有研究主要集中在产业的地理集聚。在为数不多的虚拟集聚程度测度的研究文献中,段博使用复旦大学产业发展研究中心发布的《中国城市和产业创新力报告2017》信息产业的创新指数作为衡量虚拟集聚水平的指标,侧重创新方面。张青等采用区位熵方法衡量各地区虚拟集聚程度。大部分学者依然采用国际互联网用户人数、互联网普及率与电信固定资产投资的乘积衡量虚拟集聚,但这些指标覆盖社会经济内容单一,更无法捕捉到虚拟集聚对其他行业的渗透程度,存在难以精准度量的缺陷。本文借助大数据工具汇集海量实时数据,综合以上学者的做法,构建一个较为全面反映产业数字化虚拟集聚程度的指标。通过对比现有理论与实证研究,最终明确从基建水平、应用水平、虚拟集聚水平三个方面选取15项指标定量描述产业数字化虚拟集聚程度。
产业数字化的内涵是将数字技术应用于传统产业基础设施和应用水平的改造升级,因而从基建水平、数字化应用水平反映数字技术在传统产业中的渗透程度。虚拟集聚水平是从产业数字化生产效益体现数字化虚拟集聚赋能效益。本文采用熵值法来测算产业数字化虚拟集聚的综合发展水平,指标体系如表1所示,记为Dig,原始数据均从《中国电子信息产业统计年鉴》、《中国科技统计年鉴》及国家统计局网站中获得。通过熵值法将相关指标的数据标准化后降维处理,得到产业数字化综合发展指数。
3.控制变量
控制变量的选取主要是考虑到生产率的提升受到对外开放程度、政府支持力度、科技创新水平等一系列因素的影响,以尽量减少遗漏变量造成的偏误。科技创新水平(paten)用有效发明专利件数衡量。政府支持力度(govinput)为平减后的政府公共支出与国民生产总值的比。人力资本水平(hr)采用当年毕业生数来衡量。基础设施水平(infra)采用人均城市道路面积(平方米)衡量。金融发展水平(fin)用平减后的金融支出与国民生产总值的比衡量。同时,引入虚拟变量以控制时间和个体不可观测的异质性对全要素生产率的影响。
(二)数据来源和处理
根据数据的可获得性和完整性收集整理了数据样本为2015—2020年中国30个省(直辖市、自治区)的面板数据(不包括西藏、香港、澳门和台湾)。原始数据均来自对应年份的中国及各省份统计年鉴和国家统计局官方网站。对于个别的缺失数据,通过线性插值法补全。
五、实证结果分析
(一)计量模型
基于上述理论分析与研究假设,首先对产业数字化对全要素生产率的影响设定基准回归模型如下:
InTfpchi,t=α0+β1InDigi,t+β2InControls+Dj+Dt+εi,t(10)
其中,被解释变量为各省份全要素生产率的对数(InTfpchi,t)。解释变量为各省份产业数字化发展程度的对数(InDigi,t),Controls包4个控制变量。Dj为省份固定效应,Dt为时间年份固
定效应。εi,t为随机扰动项。
(二)基本回归结果和作用机制分析
表3中模型(1)是基于(10)式未控制潜在内生变量的回归结果,回归系数为0.820,通过了1%的显著性,加入控制变量结果依然显著,说明产业数字化每提高一个单位,全要素生产率提高0.26%,且在1%的水平上显著,验证了假设1。结论与之前理论分析的预期相同。
由表3中的第(5)、(6)和(7)列中可看出,区域层面上,数字经济发展对全要素生产率的作用效果存在差异,区域分化明显。具体来看,东部地区的数字经济发展对全要素生产率的作用显著为正,这意味着东部产业数字化对提升全要素生产率具有促进作用,因为东部地区具有良好的基础设施资源,完整的产业链等优势,为产业数字化发展提供了更大的创新空间及活力,进而推动全要素生产率的提升。而中部地区的数字经济发展对全要素生产率的影响不显著,由于中部是重工业的核心地区,传统性产业居多,加之对传统生产方式的数字化变革成本过高,短期内行业规模和技术成熟度受限。同时西部地区存在反向作用,表明西部数字经济发展还未能形成规模效应,不足以推动全要素生产率的提升。这可能因为西部产业发展主要依靠招商投资与要素驱动,对要素与投资的依赖程度过高,政策效果未能显现。
结合前文产业数字化在技术进步、技术效率改善方面对全要素生产率影响的理论分析,表3第(3)、(4)列分别以全要素生产率的分解技术进步指数(tech)、技术效率指数(effch)、纯技术效率指数(pech)与规模效率变动指数(sech)作为被解释变量进行回归。结果显示,产业数字化对全要素生产率的分解指数均存在显著正向促进作用,验证了假设2和假设3。且对技术效率变化的影响大于对技术进步变化的影响,说明全要素生产率的提升主要是技术效率驱动型,产业数字化引发的技术进步还未成为国家经济发展生产率提高的主要力量。
(三)机制检验
上述回归反映了产业数字化虚拟集聚对于全要素生产率的作用,但是没有分析产业数字化如何影响全要素生产率的问题。接着讨论产业数字化虚拟集聚是否通过数字服务对全要素生产率可能存在的中介影响,数字服务水平采用非实物商品网上零售额衡量。对(10)式进行拓展,对(11)式、(12)式进行回归,结果如表4所示。
中介效应检验首先对(11)式进行回归,在确定产业数字化对于全要素生产率的线性回归系数β1显著性通过检验基础上,对(12)式进行回归,若系数β1和λ均显著,说明产业数字化的确通过中介变量影响全要素生产率;若系数β1和λ至少有一个不显著,则需要进一步做Sobel检验。
表5模型(1)和模型(2)列是以数字服务为中介变量的估计结果,估计系数均显著为正,表明产业数字化虚拟集聚确实通过对数字服务的中介效应间接推动全要素生产率水平提升。产业数字化虚拟集聚水平每增加1个单位,全要素生产率会直接提升0.26个单位,同时也会使数字服务水平提高0.129个单位,从而导致全要素生产率间接提升.105个单位(0.820×0.129=0.105)。
前文已经验证了产业数字化虚拟集聚通过数字服务的中介作用有助于全要素生产率提升,但还未对其影响生产率的具体渠道效应和传导机制做深入分析。依据产业数字化嵌入虚拟集聚价值链不同要素环节的特点,借助中介效应模型分别考察产业数字化虚拟集聚通过“线上市场规模效应”“劳动力涵养地效应”与“隐性知识显性化效应”等三个渠道对全要素生产率的影响,回归结果如表5所示。
随着互联网数字经济的发展,粉丝经济等新经济发展思路增强了虚拟集聚对企业与消费者的粘合力,虚拟集聚的网络主体范围不断扩大。虚拟集聚通过网络空间提高了交流效率、降低了交流成本与生产成本,在知识溢出效应作用下为企业带来实际收益,智能终端、在线平台等数字化技术帮助企业摆脱了物理环境的束缚,将其与传统销售模式中壁垒重重的中小客户紧密联系在一起。因此,本文采用非实物商品网上零售额与当年获得风险投资额的交互项作为线上市场规模效应的代理变量,检验结果如表5第(3)列所示。结果表明,产业数字化虚拟集聚增强了当年获得风险投资额研发投资的意愿,而研发投资所引致的线上市场规模效应提升了全要素生产率。产业数字化的线上市场规模效应对全要素生产率具有显著的提升作用。
虚拟集聚使企业与企业之间、企业与消费者之间在网络信息空间形成紧密联系,在互联网平台的信息耦合度不断增强,进而在网络空间形成超越地理集聚、关联性更强的产业数字化虚拟集聚水平。因此,本文引入虚拟集聚程度与在孵企业从业人员数的交互项考察劳动力涵养地效应在产业数字化虚拟集聚与企业生产率之间的调节作用关系,回归结果如表5第(4)列所示。结果表明,产业数字化虚拟集聚有助于提高在孵企业从业人员数,且劳动力涵养地效应的调节作用在全要素生产率的提升中起到了正向影响,即劳动力涵养地效应的调节作用成立。
本文采用非实物商品网上零售额与在孵企业R&D投入的交互项作为隐性知识显性化效应的代理指标,考察产业数字化虚拟集聚能否通过隐形知识显性化效应调节而实现生产率的攀升,结果如表5第(5)列所示。估计结果表明,当因变量为非实物商品网上零售额与在孵企业R&D投入的交互项时,产业数字化虚拟集聚的系数在1%的显著性水平上为正;而当因变量为全要素生产率TFP时,可以发现产业数字化虚拟集聚的“隐性知识显性化效应”确实是提升生产率的重要机制。
综上分析,产业数字化虚拟集聚能够通过“线上市场规模效应”“劳动力涵养地效应”与“隐性知识显性化效应”驱动虚拟数字服务达到全要素生产率的提升,假设4成立。
(四)稳健性检验
1.内生性偏误讨论
本文建立的基准回归模型可能存在内生性问题,即产业数字化虚拟集聚和全要素生产率的提升可能会同时受到一系列不可观测因素的影响,进而导致回归系数的估计有偏。为此本文借鉴黄群慧等的工具变量法对基准模型进行重新估计,由于固定电话、邮政通信等传统通信方式的使用频率较低,对全要素生产率的影响几乎不存在,因此本文选取1986年省级每百人固定电话数量和邮电局所数作为工具变量进行两阶段最小二乘(2SLS)回归,解决内生性偏误存在的潜在反向因果和遗漏变量问题。
通过两阶段法(2SLS)和广义矩估计法(GMM)进行内生性检验,检验结果如表6所示,两阶段法(2SLS)和广义矩估计法(GMM)的回归结果完全一致,说明模型中不存在工具变量不可识别问题和弱工具变量问题;产业数字化虚拟集聚发展对全要素生产率具有促进作用这一结论仍旧成立。
2.更换估计方法
表6显示在更换估计方法后,核心解释变量对经济高质量发展的正向影响在1%的水平上显著,且控制变量的显著性与符号方向均未改变。
六、研究结论与政策建议
(一)研究结论
本文先从理论层面分析了产业数字化虚拟集聚提升全要素生产率的内在机制和影响路径,在测度产业数字化虚拟集聚发展指数的基础上,实证检验了产业数字化虚拟集聚对全要素生产率的影响机制、影响效应,处理了可能的内生性问题并进一步做了稳健性检验。由此得出以下结论:
第一,中国各省份产业数字化虚拟集聚转型规模速度不断提升,产业数字化虚拟集聚发展有效促进了全要素生产率增长,且在引入控制变量前后,显著性结果依然存在。
第二,影响机制检验结果表明,产业数字化虚拟集聚发展通过促进技术进步和优化技术效率等内在机制推动全要素生产率增长,产业数字化虚拟集聚引发的技术进步逐步成为国家经济发展生产率提高的主要力量。
第三,产业数字化虚拟集聚通过数字服务对全要素生产率产生中介影响,产业数字化虚拟集聚通过在数字服务中的“市场规模效应”“劳动力涵养地效应”与“隐性知识显性化效应”来推动全要素生产率提升。
(二)政策建议
第一,政府加强支持“自上而下”的跨区域的虚拟产业集群,有效连接地理空间、物理空间和虚拟网络空间,超前布局数据中心、物联网、工业互联网等新型基础设施网络体系。加快推进传统基础设施智能化改造和数字化转型能力,鼓励传统产业转换为依托数字化技术的新产业、新业态和新商业模式。加大数字化基础设施建设的投资力度,引导社会资本参与多元化融资。数字化基础设施早期投入大、回报慢,但建成后能够以较低的边际成本服务于整个经济社会的数字化转型,加快数字中国建设速度尤其是通过加快5G商用,充分释放并巩固产业数字化发展带来的红利优势,畅通要素流动渠道,促使其能够在较短时间内实现跨部门、跨区域有序流动和高效配置,避免“区域边界锁定”;布局一批数字产业技术创新平台,促进要素跨领域和跨时空聚合共享,探索创新要素流动虚拟空间集聚的区域一体化治理体系。
第二,立足技术效率和技术进步发挥产业数字化虚拟集聚的作用效果,探索产业数字化驱动全要素生产率增长的多维路径。一方面,采用税收优惠、政策支持等方式降低企业进行数字化转型的技术壁垒和技术成本,鼓励企业率先采用技术进步手段进行数字化改造,支持企业能够实际利用数字技术提升技术效率,创新探索新业态、新模式、新场景,满足社会日益多元化、多样化以及个性化定制的需求。另一方面,政府应加大科技教育投入力度,开展数字技术培训,强化知识产权保护力度,充分释放技术创新潜力。按照平台企业主导、网络市场选择、线上动态调整的方式,形成产业链闭路循环发展,搭建面向产业链和供应链的虚拟化集群平台。
第三,在国内循环与国际循环互动过程中,在产业链与价值链上注重数字技术含量和附加值的提升,提升国家科技竞争力,以产业数字化为抓手提升企业在全球价值链分工中的竞争地位,形成区域间分工合作和产业协同的雁阵形发展格局,培育增量、升级存量,支撑国内国际双循环,推动中国经济高质量发展,加快构建新发展格局。
(本文原刊于2023年第1期
已略去参考文献)
END


